清華大學劉建國教授團隊:有機固廢沼渣特性及其資源化探究
作者:hwclzq 上傳時間:2023/3/27 16:35:37 來源: 新聞熱度: 次
研究背景
全球有機固廢年產量約1050億t,然而其有效處理率僅為2%,大量的碳資源被浪費,加劇了溫室氣體的排放。根據國際沼氣協會統計,通過厭氧消化處理有機固廢可實現碳減排約55億 t CO2(eq)/a,全球碳排放將減少約10%。近5年,我國厭氧消化處理量從788萬t/a激增至1328萬t/a;預計到2030年,沼氣年產量將超過30×1027Nm3(產生的能源可替代約5×103萬t散煤的年消耗量)。然而,有機固廢沼氣工程的快速發展帶來了大量的沼渣產生。沼渣存在連續、量大、集中等特點,其性質多變、碳氮比差、雜質多、黏稠,且處理成本較高。
2021年5月,國家發改委、住房城鄉建設部印發了《“十四五”城鎮生活垃圾分類和處理設施發展規劃》,規劃中明確提出:“要積極推動沼渣處置利用、建設沼渣資源化利用設施”。沼渣處理處置也是《2020國家先進污染防治技術目錄》中協同厭氧消化技術的關鍵一環。打通有機固廢沼渣處理處置路徑,對大中型沼氣工程的可持續發展、解決有機固廢的末端“梗阻”問題具有重要意義。
沼渣處置的主流技術包括好氧堆肥后土地利用和干化后直接或協同焚燒,而新興技術主要涉及高價值利用。然而,有機固廢種類繁多,不同原料經厭氧消化后的沼渣性質各異,如何“因地制宜”地提出我國沼渣處理處置方向是本文闡述的重點。本文通過文獻調研的方式,針對4類典型有機固廢,結合我國發展現狀與國情政策,從沼渣性質分析、國內外處理模式比較、末端資源化路徑與碳排放3方面闡述,將探究制約沼渣資源化發展的關鍵瓶頸及解決思路。
摘 要
有機固廢厭氧消化是固體廢物領域實現“雙碳目標”的重要途徑,但沼渣處理的“梗阻”問題制約了其應用與發展。通過文獻調研大中型厭氧消化工程案例的實際數據,分析了4類典型有機固廢沼渣,廚余垃圾、市政污泥、農業固廢、城市固廢有機組分的基本性質、營養物含量與重金屬含量。基于沼渣特性、結合政策與規范標準闡述了國內外沼渣處理模式異同,并探討了我國沼渣發展的瓶頸與發展方向。最后,從運輸距離、規模效益、經濟成本、市場渠道、碳排放等方面重點探討了沼渣傳統資源化處置路徑與新興資源化技術的機遇與挑戰,旨在為政策制定、技術發展和產業應用提供參考。
01 沼渣性質
本文通過文獻調研與項目采樣,共統計了238個全球正式運營的大中型厭氧處理廠(處理量>50t/d)數據,針對廚余、市政污泥、農業固廢、與城市固廢有機組分4類典型進料物的沼渣,分析其基本性質、營養物及重金屬含量并進行對比。在調研中,廚余沼渣部分數據來自文獻[8-16],市政污泥的沼渣部分數據來自文獻[9,17-25],農業固廢的沼渣部分數據來自文獻[12,13,16-30],城市固廢有機組分的沼渣部分數據來自文獻[9,25,31-35],另外,將實際運營的有機固廢厭氧處理廠的采樣分析作為各類沼渣數據的補充(此數據來自業界工程項目,未經公開發表)。參考GB/T19095—2019《生活垃圾分類標志》,本文中廚余(foodwaste,FW)表示易腐爛、含有機質的經分類后的生活垃圾,包括家庭廚余垃圾,餐廚垃圾和其他廚余垃圾;污泥(Sludge)特指城鎮污水處理廠在污水凈化過程中產生的市政污泥;農業廢物(Agro)包括各類畜禽糞便與植物纖維性廢棄物2類;而城市固廢有機組分(organic fraction of municipal solid waste,OFMSW)包括庭院垃圾、雜草枯葉、花卉殘枝、家庭廚余與果蔬垃圾。本文分析了厭氧消化后未經固液分離的沼渣,數據采用“平均值±標準方差”表示,標準方差越大,表示范圍分布越廣。
1.基本性質
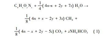
沼渣基本性質包括pH、有機質含量、含水率、碳/氮比(C/N)。易生物降解有機物(CnHxOyNz)厭氧消化過程中的分解反應可用式(1)表示:
式(1)表明厭氧消化過程降解有機物產生堿度(HCO3-)。沼渣基本性質如圖1所示。可知:各類有機固廢沼渣均呈弱堿性(pH>7),其中廚余沼渣pH為8.21±0.36,污泥沼渣pH為7.48±0.52,城市固廢有機組分沼渣pH為8.25±0.30,農業固廢沼渣pH為7.74±0.48。厭氧消化將易生物降解部分(即CnHxOyNz)轉化成CH4與CO2,仍存留一部分非生物分解性成分與菌體成分及其殘渣,此類沼渣中的有機物質含量通常以VS/TS表示。廚余、污泥、城市固廢有機組分、農業固廢的沼渣VS/TS分別為(65±11)%、(63±7)%、(54±12)%、(68±13)%。廚余和污泥沼渣含水率較高[廚余沼渣(93.5±4.7)%,污泥沼渣(94.6±5.3)%],因為廚余和污泥主要采用濕式厭氧消化處理,如何高效實現脫水干化與減量(減少運輸成本)是處理此類沼渣需考慮的關鍵問題。而城市固廢有機組分與農業固廢通常采用干式厭氧,其沼渣含水率較低,且波動較大[OFMSW:(72.5±15.1)%, Agro:(86.9±9.0)%]。C/N是沼渣資源化利用的關鍵指標,理想的好氧堆肥C/N為25~30。若C/N太高則菌種生長緩慢且蛋白質合成困難,C/N較低則細菌快速生長,多余的氮源將分解為氨氮釋放產生臭氣,同時導致氮損失。廚余與污泥的沼渣含氮源較多,C/N分別為7.2±5.5與6.4±1.5,因此,在此2類沼渣堆肥時需考慮添加其他高C/N輔料(如木屑,C/N為200~300;秸稈,C/N為60~90)進行平衡。城市固廢有機組分(12.1±8.5)、農業固廢(13.9±10.4)的沼渣C/N分布各異,此2類沼渣堆肥時需根據具體情況采用合適工藝路線。
2. 營養物
氮、磷、鉀是沼渣主要營養物成分,是肥效作用的關鍵元素,而氨氮濃度可作為植物毒性與養分徑流的指標。由圖2可知:4類沼渣營養物含量具有明顯差異,廚余與城市固廢有機組分的沼渣總氮含量的平均值相近(18.5g/kg與18.2g/kg)且低于污泥與農業固廢沼渣(32.9g/kg與35.7g/kg)。通常土壤氨氮控制目標值為9.2g/kg,以避免氨氮植物毒性,而4類沼渣的氨氮濃度主要為3~5g/kg,引起植物毒性的可能性較小。污泥沼渣的總磷含量的平均值高達35.7g/kg,遠高于廚余(6.6g/kg)、城市固廢有機組分(5.0g/kg)與農業固廢(7.9g/kg),主要原因是市政污水中的磷富集在污泥中,厭氧消化過程中隨著微生物的分解衰減,超過80%(質量分數)的生物結合磷被重新釋放到液相中,導致了污泥沼渣的較高的磷含量。而土壤的前端鉀肥施用導致末端農業固廢沼渣的鉀含量較高(15.0g/kg),其平均值明顯高于其他種類沼渣(廚余沼渣:5.7g/kg;污泥沼渣:2.8g/kg;城市固廢有機組分:5.9g/kg)。基于以上歸納,若采用沼渣堆肥土地利用的技術路線,需考慮各類沼渣的主要養分(如通常污泥沼渣富含氮磷,農業固廢沼渣富含鉀,而廚余與城市固廢有機組分的沼渣養分含量較為均衡),因地制宜地施用沼渣堆肥后的產品。
3. 重金屬
重金屬含量是沼渣安全性指標與資源化利用的關鍵。沼渣的重金屬含量如圖3所示。可知:污泥沼渣的重金屬含量明顯較高,Pb與Cr的含量分別為(68.2±89.5),(219.5±296.1)mg/kg,其平均值均超過了NY/T525—2021《有機肥料》限值[ω(Pb)≤50mg/kg,ω(Cr)≤150mg/kg];此外,污泥沼渣Cu含量為(576.3±477.2)mg/kg,其平均值超過了GB/4284—2018《農用污泥污染物控制標準》限值(Cu<500mg/kg),某些污泥沼渣樣品的Zn濃度為(906.1±1141.5)mg/kg,也超過了農用標準限值(Zn<1200mg/kg)。因此,對于污泥沼渣的資源化需重點考慮重金屬的去除確保其安全達標。廚余沼渣中Pb[(17.0±19.2)mg/kg]、Ni[(18.8±10.8)mg/kg]、Zn[(156.3±76.9)mg/kg]含量較高,其沼渣重金屬與城市固廢有機組分沼渣相似[Pb(15.1±3.5)mg/kg;Ni(21.6±24.6)mg/kg;Zn(218.2±150.3)mg/kg],原因是城市固廢有機組分主要包括了一定比例的家庭廚余垃圾。相比之下,農業固廢沼渣中的各類重金屬含量最低。總體來說,除了某些污泥沼渣樣品重金屬超標外,本文所統計的其他沼渣中所涉重金屬含量都符合相關規范與標準要求。
02 國內外沼渣處理現狀
全球范圍內,中大型厭氧消化處理設施(處理量>50t/d)主要集中在德國(8924座)、中國(4717座)、美國(1645座)、意大利(898座)。德國是全球發展厭氧消化技術的領先國家,我國雖然建設了大量厭氧消化設施,但主要集中在農業固廢處理。本節將主要對比德國與我國各類沼渣的處理處置模式,并探討我國沼渣發展方向。
1.廚余沼渣
德國分類收集的廚余垃圾,經過厭氧消化后的沼渣全部用于堆肥。截至2014年,德國有884個堆肥廠,年產約400萬t堆肥產品。為了生產適合市場的堆肥產品和沼渣,德國成立了2個專門機構:BGK—堆肥產品質量保證機構(Federal Compost Quality Assurance Organisation of Germany)和RAL—德國質量保證與認證研究院(Deutsches Institut für Gütesicherung und Kennzeichnung e. V),建立了一系列法規與標準規范保證廚余堆肥產品的質量與安全,從制度方面破解了末端資源化的梗阻問題,以保證產品的高質量。近年來,我國加強了固廢領域的法規與政策的制定,對廚余垃圾管理提出了明確要求。自2011年以來,國家發改委共投資20億元,建立了104個餐廚廢棄物資源化利用和無害化處理試點項目(共1.97萬t/d)。試點項目中,約76%采用厭氧消化工藝,17%采用好氧堆肥,7%采用飼料化利用,然而截至2018年,僅35%的項目經過驗收,10%的項目因為預處理系統故障率高被撤銷。廚余垃圾常與生活垃圾混合,含有玻璃瓶、塑料、廢衣物等雜物,導致了預處理篩選設備的故障;垃圾分類政策的實施將極大地改進廚余性質,有利于預處理系統的搭建與重構。聚焦我國廚余沼渣處理處置,可查詢到的公開工程案例資料僅有2項:杭州天子嶺190t/d廚余垃圾處理工程,沼渣脫水至含水率53%后填埋;鄭州市200t/d廚余垃圾處理工程項目,沼渣脫水至含水率55%后堆肥作營養土。我國廚余項目仍存在如下瓶頸問題:1)前端預處理工藝和裝備選型與我國廚余垃圾物理特性不適應;2)末端沼渣處理處置技術積累不足且資料匱乏。
2. 污泥沼渣
德國污泥沼渣出路中,64%采用干化后焚燒,24%農用,12%用作景觀園林覆土。歐洲其他國家如荷蘭、瑞士已實現污泥沼渣100%焚燒。污泥焚燒后的灰渣磷含量高[(93.1±3.2)g/kg],是污泥沼渣磷含量的3倍(圖2),有利于后續的磷資源回收。磷是不可再生的自然資源,因此,德國2017年通過了對《污水污泥條例》(The German Sewage Sludge Ordinance, Abfallklarschlammverordnung, AbfKlarV)的修訂,要求從污水污泥或其焚燒灰中回收磷,明確提出2029年后含磷量大于20g/kg總固體的污水污泥須采用磷回收工藝,要求從污水污泥總固體中回收50%以上的磷;而污泥沼渣平均磷含量高達35.7g/kg(圖2),適用于“污泥沼渣焚燒-磷回收”的技術路線。盡管我國污泥厭氧消化處理量逐年激增,近10年從2814t/d增至6944t/d,但目前普及率僅為3%,遠低于領先國家50%的水平。據不完全統計,我國污泥沼渣利用途徑中,29%為堆肥土地利用、27%為焚燒、20%為填埋、16%為建材利用、8%進行其他處理。現階段,為滿足國家標準與規范(表1),大部分污水廠添加大量藥劑(如CaO,10%~15%,質量分數)進行“污泥調質-板框壓濾”,以降低沼渣含水率到60%~65%后直接填埋。但大量藥劑的添加不僅增加了污泥量和運行費用,而且不利于資源化利用。若采用干化技術,可將污泥沼渣含水率由80%降至40%,體積可減少3倍,而熱值可提高約2.5倍,將極大地降低運輸成本,并為后續的焚燒或資源化處置提供基礎。干化+焚燒有望成為最有效的污泥(沼渣)處置技術工藝之一。
3. 農業固廢沼渣
農業固廢沼渣富含有機物和營養物質,且重金屬含量低。德國90%的農業沼渣未經處理,儲存后直接回田利用;剩余的10%固液分離后的固渣堆肥,而沼液不經處理直接利用。直接利用的費用主要是沼渣儲存與運輸費用,大部分農戶選擇“就近自用”減少運輸成本。大多數歐洲國家的堆肥產品免費送給農戶使用,而德國通常向農戶收取10~15元/t的費用。對于固渣而言,堆肥后的產品售價(0~30元/t)往往低于其處理成本與運輸費用(100~140元/t),不是最經濟適用的選擇。我國農業固廢沼渣約53%可直接利用,其余23%采用穩定塘處理,24.7%采用好氧處理。穩定塘與好氧處理通常是簡單曝氣后排放到附近水體消納,造成了資源浪費與環境污染。同發達國家類似,我國的沼肥通常免費送給農戶進行直接利用。經調研,農戶可接受的堆肥產品價格為1~5元/t,且50%的農戶因為其不如化肥方便、肥效不好等原因,表示不接受沼肥。整體而言,我國農戶積極性低,沼渣可直接利用的土地消納能力不足,且缺乏資源化利用標準與質量保證,導致了大量的農業固廢沼渣的資源浪費。從其他國家的經驗來看,鼓勵農戶就近使用農業固廢沼肥是較經濟且適用的方式。
4.城市固廢有機組分沼渣
城市固廢有機組分包括了庭院垃圾、雜草枯葉、花卉殘枝等垃圾,其含水率較低。故德國通常采用生物干化或干式厭氧技術處理城市固廢有機組分,沼渣經干化后可制備垃圾衍生燃料(refusederivedfuel,RDF)。RDF含水率<25%,低位熱值>15MJ/kg,通常協同焚燒處置。就土地利用而言,相比濕式厭氧沼渣,干式厭氧的沼渣因含水率較低,通常用作基肥鋪在土壤下層,且此類沼渣基肥施往往會刺激氨氧化細菌的增長,引起硝酸鹽濾出風險,導致農作物或植物固氮不足。我國2014年引進德國BEKON技術,總投資7300萬元(100t/d),于哈爾濱賓縣采用了第1個干式發酵項目處理城市生活有機固廢。總體來說,干式發酵對我國而言仍處在起步階段,技術引進的高額投資限制了干式厭氧的應用發展(噸投資70萬~100萬元),另一方面,干式厭氧發酵末端沼渣的處理處置方案資料匱乏。
03 末端資源化路徑與碳排放
1.傳統資源化方式
1)土地利用。
沼渣的消納是破解末端“梗阻”問題的關鍵。作為主要的消納模式,土地利用需考慮我國土地容量。我國2020年沼肥產量約9700萬t,以每公頃可消納30t沼肥計算,年產的沼肥需占用約320萬公頃土地。簡單概算,若全年生產的沼肥用于土地利用,僅占耕地面積的2.3%,占園地的22.2%,占林地的1.3%。可見我國的土地容量可以消納沼渣,但運輸距離限制了沼渣的消納。根據瑞典大中型沼氣工程為例,沼渣運輸距離對整體工程項目起到決定性作用:當農業固廢運輸距離超過200km,污泥運輸超過240km,城市固廢有機組分運輸超過580km時,整體工程的能耗將“入不敷出”。沼渣可以通過堆肥或造粒等方式減少體積提高價值,降低運輸成本,破解長距離運輸問題。然而,考慮到產品的規模化效應,此模式不適用于處理量<50t/d的厭氧處理廠,因利潤波動較大,需謹慎考慮項目規模與沼渣造粒后的下游消納途徑。就政策規范而言,NY/T525—2021《有機肥料》正式實施,禁止使用粉煤灰、鋼渣、污泥、生活垃圾(經分類陳化后的廚余廢棄物除外)作為商品(有機肥)在市場交易。作為補充,《“十四五”城鎮生活垃圾分類和處理設施發展規劃》中提出了對沼渣出路的規劃:“園林綠化肥料、土壤調理劑等需求較大的地區,沼渣可與園林垃圾等一起堆肥處理”,“堆肥處理設施能力不足、具備焚燒處理條件的地區,可將沼渣預處理脫水干化后焚燒處理”。從技術層面而言,堆肥工藝是成熟的,根據具體項目需求可選擇倉式、立式、槽式等工藝,主要考慮的關鍵因素是輔料添加后的物料碳氮比、含水率、曝氣強度。
2)沼渣焚燒。
焚燒是沼渣傳統資源化的另一重要路徑,而干化提高沼渣熱值是焚燒處置的核心問題。根據實際工程模式與運行參數可知:熱源提供和處理規模大小是決定沼渣干化可行性的關鍵。以40t/d處理量為例,若廠內無熱源提供,整體運行成本高達130元/t,若廠內提供熱源(蒸汽),可節省廠內運行成本約30%,降至95元/t;若處理量擴大到150t/d,以同樣的蒸汽模式處理沼渣,運行成本將減少至75元/t。可知:處理規模大、有熱源(如蒸汽)、且焚燒廠距離適宜的項目,沼渣可以優選干化后焚燒處置。另一方面,建立以焚燒廠為主體、餐廚污泥等有機固廢協同的靜脈產業園是實現物質和能量的可持續利用的一種模式。以廣西某靜脈產業園內餐廚垃圾處理廠為例,與餐廚廠(100t/d,采用“預處理+油脂提取+厭氧發酵+沼氣凈化利用”的總體工藝)獨立運營相比,靜脈產業園內焚燒廠餐廚廠協同處理日節省費用約2600元,折合噸垃圾節省費用約45元,年累計節省約95萬元。具體地,通過沼氣進入焚燒爐,提高爐溫,產生熱量創造利潤,同時煙氣余熱或蒸汽來干化沼渣,提高沼渣熱值,提高發電量。盡管產業園模式下的沼渣協同焚燒模式經濟效益較好,但也需要從技術角度考慮實際運行問題。根據《生活垃圾清潔焚燒指南》,當沼渣摻燒比過高(>7%)時,容易出現爐膛結焦和鍋爐積灰現象,將大大增加檢修時間和頻次,難以確保連續8000h/a的穩定運行要求。例如,上海金山區污泥協同焚燒現場反饋,爐膛內壁結焦達30cm,須3個月打焦1次,余熱鍋爐積灰,清灰頻率增加。
2.新興資源化技術
1)高值碳化。
碳是沼渣含量最高的元素,其干重質量分數為50%~70%。近些年,水熱碳化(hydrothermal carbonization,HTC)已成為有機物高值資源化的一項新興技術。HTC技術通過適當的溫度(180~250℃),壓力(10~50bar)和酸堿度條件下,數小時(1~12h)內可將含水的生物質或其他殘渣產生2種主工產品:生物炭和水溶性產品(圖4a)。各種濕生物質(如沼渣)均能被處理并轉化為燃料和其他工業利益物質,例如HTC技術的磷回收率接近100%。另外,生物炭具有高比表面積和發達的孔隙結構,具備吸附劑的性能,常用在含重金屬廢水處理中。高價值多領域的產品應用使得HTC技術在有機固廢領域逐漸實現商業化。2010年,德國HTCycle GmbH首次在全球運營工業規模的HTC污泥處理工廠,并在2017年建立了第2個生物質碳化工廠。然而,不同的處理規模、原料與區域選擇決定著HTC技術的經濟效益。以德國某HTC技術處理稻穗枯木的項目為例,生物質的前端供應(運輸或購買)導致了項目的虧損。此外,基于AVA-CO2公司(Karlsruhe,Germany)的HTC技術中試項目運行數據(15m3序批式反應器,25~30t/d,沼渣含水率80%),項目總投資成本為3000萬元,總運營成本為380~450元/t。總體來說,HTC技術投資高,且有較高的總收益需求值,意味著需要高收益才能補償HTC的資金投入。提高處理規模,優化產品質量,是決定HTC技術經濟可行性的關鍵舉措。
2)生物干化。
生物干化最早在1984年由William J.Jewell研究牛糞好氧堆肥的操作參數時提出,其原理是通過好氧微生物降解有機物釋放生物熱能將物料中的水分蒸發,同時引入強通風條件實現補充氧氣并帶走水蒸汽,從而實現干化作用(圖4b)。此技術在1996年于意大利首次實現工業化應用,采用BioCubi工藝處理生活垃圾。2013年,荷蘭GMB BioEnergie BV公司首次采用生物干化技術處理污泥(處理量410t/d),含水率在10~12d由78%降至33%,干化后污泥低位熱值高達1850kcal/kg,并實現系統的能源與資源回收(熱能回收9.3MW/a;(NH4)2SO4回收7300t/a)。通過間歇式通風,生物干化反應時間可縮短至7d,完成對餐廚垃圾干化(含水率由80%降到40%,低位熱值高達1970kcal/kg)。基于相同的技術原理,近些年生物干化技術被應用在沼渣資源化領域中。生物干化的優點是運行費用較低(熱干化230~280元/t,低溫熱干化100~150元/t,好氧堆肥80~100元/t,生物干化60~80元/t)。工程應用上,輔料(木屑、鋸木、秸稈等)的購置與運輸是主要運行成本之一。超高溫好氧菌(hyperthermophilic aerobic bacteria)的發現為生物干化提供了新的發展方向。YM菌是一種典型的超高溫好氧菌,無需添加輔料,能在90℃以上(最高可達120℃)的超高溫好氧條件下活躍工作,發酵分解有機廢棄物,且能對臭氣物質徹底分解,已在日本應用40余年。近幾年,以YM菌為原型,我國研發了各類超高溫好氧菌,并逐漸在工程上應用。
3)昆蟲轉化。
有機固廢沼渣富含大量營養物質,具備資源化潛質。昆蟲轉化技術作為近幾年的新興技術,將有機固廢轉化生產高價值產品,實現全鏈條資源化(圖4c)。例如,黑水虻將有機固廢作為食物,在體內消化并合成高含量的粗蛋白(40%干重)與粗油脂(30%干重),具有較高的商業價值。但就昆蟲轉化而言,物料的選擇是成功的關鍵環節。當污泥沼渣作原料時,黑水虻需要漫長的時間進行生物轉化(40d),遠長于果蔬垃圾為原料的轉化時間(10d)。除Agriprotein公司利用廚余為原料之外,其他公司均以果蔬、谷類、食品加工廢渣作為原料生產動物飼料(表2)。此外,國際昆蟲食品飼料協會(International Platform of Insects for Food and Feed,IPIFF)將餐飲垃圾、畜禽糞便、含魚肉類食品列為昆蟲轉化技術的禁用原料。而加工類廢渣如麩皮、麥糠、酒渣、奶渣、果蔬垃圾的源頭可溯相對“安全”,推薦采用昆蟲技術。目前,全球處理量最大的是法國Ynsect公司采用的黃粉蟲技術,每天處理1000t麥糠及其他輔料,且昆蟲轉化工藝的末端殘渣富含腐殖酸,烘干后可作為有機肥料或土壤改良劑使用。近些年,昆蟲技術在我國迅速發展,主要應用于廚余垃圾三相分離后的有機固渣處理,然而如何實現機械化養殖與運營是昆蟲技術在我國發展的瓶頸(尤其是蟲卵、蟲糞、幼蟲的精準篩分)。另外,鮮蟲或干蟲的消納渠道是決定昆蟲技術是否盈利的關鍵,根據Eawag在印度尼西亞的黑水虻生產測試線調研報告,相比養殖場飼料,將干蟲或鮮蟲作為家庭寵物飼料更為適合,更加利于建立全鏈條資源化產業鏈。
3.碳排放
沼渣處理是一個排放CO2(eq)的過程,其能量消耗可通過二氧化碳當量(CO2(eq))核算。不同處理手段的沼渣處理過程碳排放排序為:帶式干燥(100kgCO2/t)>開放堆存利用(38kgCO2(eq)/t)>熱濃縮(24kgCO2(eq)/t)>槳葉式干燥(21kgCO2(eq)/t)>堆肥利用(18kgCO2(eq)/t)>膜分離(10kgCO2(eq)/t)>太陽能干化(6kgCO2(eq)/t)(圖5)。沼渣干化工藝的選擇影響著碳排放量:帶式干燥的耗電量大,且過程中大量的氮源流失,導致其土地利用價值較低、碳排放較大;而太陽能干化通過利用太陽能輻射轉化能量,極大減少了碳排放。若沼渣進行土地利用,營養物質具備碳減排效益,沼渣代替肥料可實現碳補償-20~-28kgCO2(eq)/t。相比之下,沼渣焚燒的碳排放為95~100kgCO2(eq)/t。就新興資源化技術而言,昆蟲轉化工藝的碳排放較少(約30kgCO2(eq)/t),僅為焚燒工藝的30%,但針對沼渣的昆蟲轉化技術仍處在研究階段。尚無沼渣高值碳化(HTL)與生物干化過程的碳排放的研究報道。
04 結語
本文分析了各類沼渣的特性,并討論了國內外沼渣處理現狀與發展方向,結合土地資源、經濟、政策、規范,重點探究了我國沼渣的傳統資源化處置路徑與新興技術的機遇與挑戰。我國廚余垃圾處理處置仍處在起步發展階段,現有工程項目的沼渣大多通過填埋和營養土利用,靜脈產業園的建設與沼渣協同焚燒具有前景或將成為重點發展方向。污泥沼渣重金屬含量高,若土地利用需重點考慮安全性因素,通過深度脫水與干化降低含水率(減量)是污泥沼渣處理的關鍵。農業固廢沼渣營養物含量高且重金屬含量低,建議完善政策規范并鼓勵農戶沼渣就地土地利用。我國城市固廢有機組分采用厭氧消化模式案例匱乏,沼渣利用信息不全。新興資源化技術,如水熱碳化技術,盡管已有項目運行,但其經濟可行性不高,制約了技術的發展,而生物干化技術通過高效菌種的應用為有機固廢(沼渣)的資源化提供了新思路。昆蟲轉化在國外已進入商業化運營,但需重點考慮產品消納以及物料種類避免安全風險。此外,本文根據具體沼渣處理處置項目或案例,重點論證了沼渣運輸、處理規模、消納路徑關鍵影響因素,并提出處理處置方案。
-
上一篇:
太火爆!中國重汽再簽1000臺大單! -
下一篇:
號外!延長“國六a”車型銷售期的相關政…

東風天錦油田背罐車
底盤:DFH1180EX8
福達BDW-10/2空壓機
底盤:

